• อาษา
    • เกี่ยวกับสมาคมฯ
    • คณะกรรมการฯ
      • คณะกรรมการบริหารสมาคมสถาปนิกสยาม ในพระบรมราชูปถัมภ์ ประจำปี พ.ศ. 2567-2569
      • คณะกรรมการกองทุนสมาคมสถาปนิกสยาม ในพระบรมราชูปถัมภ์ ประจำปี พ.ศ. 2568-2570
    • ระเบียบและข้อบังคับ
      • ข้อบังคับสมาคมสถาปนิกสยาม ในพระบรมราชูปถัมภ์
      • ข้อบังคับว่าด้วยการเลือกตั้งนายกสมาคมสถาปนิกสยามฯ
      • ระเบียบกองทุนสวัสดิการสมาชิก / มูลนิธิสถาปนิกสยาม
    • รางวัล
      • รางวัลประจำปี
      • รางวัลอนุรักษ์ศิลปสถาปัตยกรรมดีเด่น
  • สมาชิกสมาคมฯ
    • สมัครสมาชิก
    • ตรวจสอบสถานะสมาชิก
    • ลงทะเบียนเข้าใช้งานเว็บไซต์
    • สิทธิประโยชน์
      • ลงทะเบียนเข้าใช้งานเว็บไซต์
      • ดาวน์โหลดแบบฟอร์ม
    • รายนามสมาชิกและผลงาน
    • สถิติจำนวนสมาชิก
  • สื่อของสมาคมฯ
    • ASA E-BOOKS
    • ASA NEWSLETTER
    • ASA ARCHIVES
    • ASA CHANNEL
  • ข่าว
    • ข่าวและเหตุการณ์สำคัญ
    • กิจกรรมสมาคมฯ
    • ข่าวงานสถาปนิก
    • ข่าวกฎหมาย
  • ค้นหา
    • ค้นหาบริษัทสถาปนิก
    • ค้นหางาน
  • ติดต่อสมาคมฯ
    • ที่อยู่สมาคมฯ
    • ติดต่อเจ้าหน้าที่
  • โพสต์งาน
  • เข้าสู่ระบบ
Menu
  • อาษา
    • เกี่ยวกับสมาคมฯ
    • คณะกรรมการฯ
      • คณะกรรมการบริหารสมาคมสถาปนิกสยาม ในพระบรมราชูปถัมภ์ ประจำปี พ.ศ. 2567-2569
      • คณะกรรมการกองทุนสมาคมสถาปนิกสยาม ในพระบรมราชูปถัมภ์ ประจำปี พ.ศ. 2568-2570
    • ระเบียบและข้อบังคับ
      • ข้อบังคับสมาคมสถาปนิกสยาม ในพระบรมราชูปถัมภ์
      • ข้อบังคับว่าด้วยการเลือกตั้งนายกสมาคมสถาปนิกสยามฯ
      • ระเบียบกองทุนสวัสดิการสมาชิก / มูลนิธิสถาปนิกสยาม
    • รางวัล
      • รางวัลประจำปี
      • รางวัลอนุรักษ์ศิลปสถาปัตยกรรมดีเด่น
  • สมาชิกสมาคมฯ
    • สมัครสมาชิก
    • ตรวจสอบสถานะสมาชิก
    • ลงทะเบียนเข้าใช้งานเว็บไซต์
    • สิทธิประโยชน์
      • ลงทะเบียนเข้าใช้งานเว็บไซต์
      • ดาวน์โหลดแบบฟอร์ม
    • รายนามสมาชิกและผลงาน
    • สถิติจำนวนสมาชิก
  • สื่อของสมาคมฯ
    • ASA E-BOOKS
    • ASA NEWSLETTER
    • ASA ARCHIVES
    • ASA CHANNEL
  • ข่าว
    • ข่าวและเหตุการณ์สำคัญ
    • กิจกรรมสมาคมฯ
    • ข่าวงานสถาปนิก
    • ข่าวกฎหมาย
  • ค้นหา
    • ค้นหาบริษัทสถาปนิก
    • ค้นหางาน
  • ติดต่อสมาคมฯ
    • ที่อยู่สมาคมฯ
    • ติดต่อเจ้าหน้าที่
  • โพสต์งาน
  • เข้าสู่ระบบ
TH
  • EN

ISA

กฎหมายอาคาร

BIM

งานสถาปนิก

ASA Journal

ปฎิทินกิจกรรม

ASA Shop

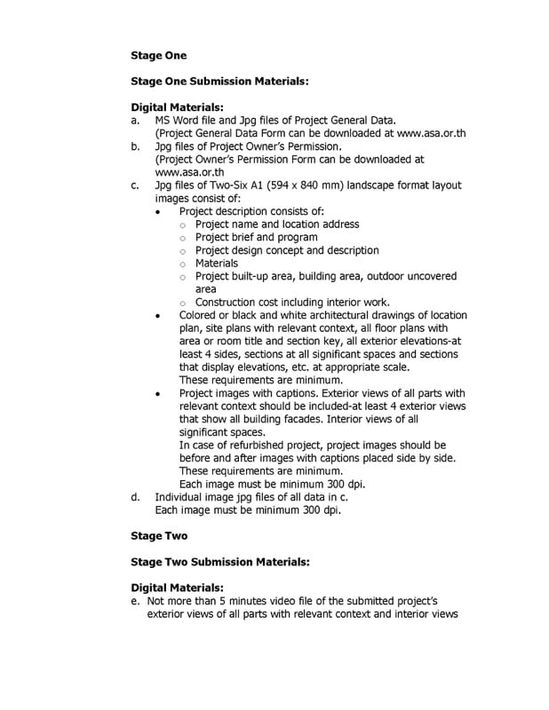
Rules and Schedule-ASA Architectural Design Awards 2018 15-11-2017_Page_2
Home » ASA ARCHITECTURAL DESIGN AWARDS 2018 » Rules and Schedule-ASA Architectural Design Awards 2018 15-11-2017_Page_2

Rules and Schedule-ASA Architectural Design Awards 2018 15-11-2017_Page_2

  • Objective
  • History
  • Executive Committee
  • ASA Fund Committee
  • Code of Conduct
Menu
  • Objective
  • History
  • Executive Committee
  • ASA Fund Committee
  • Code of Conduct

The Association of Siamese Architects under Royal Patronage. All Rights Reserved.

Line Facebook-f Youtube